研究背景与概述

本论文《气候变化背景下黑龙江省主要农业气象灾害时序变化特征及影响差异》基于1972—2020年黑龙江省的粮食播种面积、受灾资料及农业气象灾害数据,系统分析了近50年来黑龙江省农业气象灾害的演变规律。

🌾

研究背景

黑龙江省作为我国重要的商品粮基地,常年受到干旱、洪涝、风雹、低温冷害等气象灾害的影响。据统计,每年因气象灾害导致的农牧产品损失约占全省总产量的5-10%,对粮食安全构成严重威胁。

📈

数据基础

研究基于1972—2020年近50年的历史数据,涵盖粮食播种面积、受灾资料及农业气象灾害数据,以农作物成灾率为核心指标,构建了完整的分析框架。

🌍

气候变化背景

在全球气候变化背景下,极端天气事件频发,农业气象灾害的时空分布特征发生显著变化,亟需系统研究其演变规律及影响机制。

自统计黑龙江省气象灾害发生频率示意图(数据来源2003-2021中国气象灾害年鉴)

黑龙江省气象灾害综合分布图

图1:黑龙江省主要气象灾害发生频率(2003-2021年)

干旱灾害分布图

干旱灾害发生年份数目(2003-2021)

洪涝灾害分布图

大风灾害发生年份数目(2003-2021)

风雹灾害分布图

高温灾害发生年份数目(2003-2021)

低温冷害分布图

低温冷害发生年份数目(2003-2021)

1970年代灾害分布

雾霾发生年份数目(2003-2021)

1980年代灾害分布

台风灾害发生年份数目(2003-2021)

1990年代灾害分布

雪灾发生年份数目(2003-2021)

2000年代灾害分布

病虫害发生年份数目(2003-2021)

春季灾害分布

洪涝灾害发生年份数目(2003-2021)

夏季灾害分布

冰雹灾害发生年份数目(2003-2021)

秋季灾害分布

沙尘暴发生年份数目(2003-2021)

研究目的

本研究旨在系统揭示黑龙江省主要农业气象灾害的时序变化特征及其对农业生产的差异化影响,为区域农业防灾减灾和粮食安全保障提供科学依据。

4类
主要灾害类型
49年
数据时间跨度
2种
分析方法
5级
灾害等级划分

具体研究目标

1. 分析1972-2020年黑龙江省主要农业气象灾害(干旱、洪涝、风雹、低温冷害)的时序变化特征

2. 通过灰色关联度分析确定各灾种对农业总损失的影响权重

3. 构建综合灾情指数模型,实现灾害年景的标准化评估

4. 揭示不同等级灾害对粮食安全的差异化影响机制

5. 为黑龙江省农业防灾减灾和粮食安全保障提供科学依据

"本研究不仅关注单一灾害的演变规律,更注重多灾种并发情况下的综合影响评估,为区域农业防灾减灾提供了从宏观趋势到微观机理解释的科学框架。"

研究方法及创新点

本研究以1972—2020年黑龙江省粮食播种面积、受灾资料及农业气象灾害数据为基础,重点选取受灾面积和成灾面积作为反映灾害危害程度的指标。数据主要来源于《中国统计年鉴》《黑龙江统计年鉴》和黑龙江省气象局。研究方法的核心是以农作物成灾率(成灾面积与总播种面积的比值)作为衡量农业受灾程度的指标,通过灰色关联度分析和农业气象综合灾损模型,实现灾害的定量描述与等级划分。

研究步骤

1. 数据标准化处理

为消除年际播种面积变化的影响,研究采用成灾率作为标准化指标。成灾率定义为作物成灾面积与当年总播种面积的比值,其大小可反映灾情轻重的相对差别。
多年成灾率的标准化值通过公式(1)计算:zt=mt−m/s
其中:zt为第 t年成灾率的标准化值;mt为第t年的成灾率;m为多年平均成灾率;s为均方差。
此步骤旨在将原始数据转换为无量纲的标准化值,便于后续比较和分析。

2.农业气象灾害分级

研究采用分级赋值法,将成灾率标准化值量化为0~10的分值。根据黑龙江省1972—2020年四类灾害(洪涝、干旱、风雹、低温冷害)的成灾率标准化值,使用内插等分法求出对应等级分值 F,并将灾害等级划分为5个等级:

黑龙江省气象灾害综合分布图

分级标准基于标准化值的离散程度(具体阈值见表1,在研究成果部分的灾害等级评估与综合灾情里),例如干旱的轻灾标准为 −1.15≤z<−0.42,重灾标准为 1.74≤z小于2.5。这一步骤实现了灾害强度的量化分级。

研究方法

灰色关联度分析:有效处理了小样本、贫信息的数据系统,客观确定了各灾种对农业总损失的影响权重。

综合灾情指数(Pt)模型:通过将各灾种的等级分值与其权重相结合,实现了对每年灾害整体影响的"综合打分"。

等级划分方法:将灾害年景划分为轻灾、小灾、中灾、大灾、重灾五个等级,便于比较和评估。

农业气象灾害权重确定

为评估不同灾害对农业的综合影响,研究采用灰色关联分析法确定权重。该方法适用于小样本和无规律数据,步骤如下:

定义序列:参考序列(系统行为特征):总成灾率X0={x0(t),t=1,2,…,49}
比较序列(影响因子):洪涝X1、干旱X2、风雹X3、低温冷害X4,其中Xi={xi(t),t=1,2,…,49}(i=1,2,3,4)。

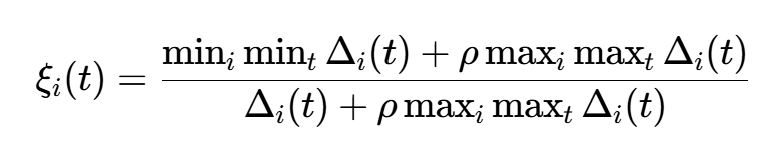
计算绝对差:

黑龙江省气象灾害综合分布图

计算灰色关联系数

黑龙江省气象灾害综合分布图

其中 ρ为分辨系数,通常取0.5。

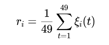
计算灰色关联度

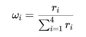
黑龙江省气象灾害综合分布图

计算权重

黑龙江省气象灾害综合分布图

权重 ω i表示各灾害对总成灾率的贡献度,关联度越大则权重越高。最终权重结果如表4所示:干旱(0.281)、低温冷害(0.275)、洪涝(0.265)、风雹(0.179)。

农业气象灾害权重确定

基于权重和等级分值,构建农业气象综合灾情指数 Pt

黑龙江省气象灾害综合分布图

其中:Fit为第 i类灾害第 t年的等级分值;ωi为第 i类灾害的权重。

该模型将四类灾害的等级分值与其权重加权求和,得到综合灾情指数Pt。指数值越大,表示灾情越重。根据Pt的离散程度,采用对称等分间隔法将综合灾情划分为5个等级(见表5)

黑龙江省气象灾害综合分布图
灰色关联度
分析方法
综合灾情指数
评估模型
5级划分
等级标准
49年
数据验证

创新点

💡

方法创新

首次将灰色关联度分析与综合灾情指数模型相结合,实现了对多灾种并发情况的综合评估。

📈

数据创新

基于近50年的长时序数据,系统揭示了气候变化背景下农业气象灾害的演变规律。

🌾

应用创新

研究成果可直接应用于农业防灾减灾实践,为粮食安全保障提供科学支撑。